上海辛丞--暖通空调设计教材之暖通空调与防火排烟
1 设计文件编制深度规定—暖通空调部分
1.1 方案设计
1.1.1 采暖通风-空气调节的设计方案要点。
1.1.2 采暖、空气调节的室内设计参数及设计标准。
1.1.3 冷、热负荷的估算数据。
1.1.4 采暖热源的选择及其参数。
1.1.5 空气调节的冷源、热源选择及参数。
1.1.6 采暖、空气调节的系统形式,简述控制方式。
1.1.7 通风系统简述。
1.1.8 防烟、排烟系统简述。
1.2 初步设计
1.2.1 采暖通风与空气调节初步设计应有设计说明书,除小型、简单工程外,初步设计还应包括设计图纸、设备表及计算书。
1.2.2 设计说明
1 设计依据
1)与本专业有关的批准文件和建设方要求;
2)本工程采用的主要法规和标准;
3)其他专业提供的本工程设计资料等。
2 设计范围
根据设计任务书和有关设计资料,说明本专业设计的内容和分工。
3 设计计算参数
1)室外空气计算参数。
2)室内空气设计参数。
4 采暖
1)采暖热负荷;
2)叙述热源状况、热媒参数、室外管线及系统补水与定压;
3)采暖系统形式及管道敷设方式;
4)采暖分户热计量及控制;
5 空调
1)空调冷、热负荷;
2)空调系统冷源及冷媒选择,冷水、冷却水参数;
3)空调系统热源供给方式及参数;
4)空调风、水系统简述,必要的气流组织说明;
5)监测与控制简述;
6)空调系统的防火技术措施;
7)管道的材料及保温材料的选择;
8)主要设备的选择。
6 通风
1)需要通风的房间或部位;
2)通风系统的形式和换气次数;
3)通风系统设备的选择和风量平衡;
4)通风系统的防火技术措施。
7 防烟、排烟
1)防烟及排烟简述;
2)防烟楼梯间及其前室、消防电梯前室或合用前以及封闭式避难层(间)的防烟设施和设备选择;
3)中庭、内走道、地下室等,需要排烟房间的排烟设施和设备选择;
4)防烟、排烟系统风量叙述,需要说明的控制程序。
8 有关专篇涉及的内容(环境保护、消防、劳动安全卫生、安保、交通组织节能、建筑智能化)。
1.2.3 设计图纸
1 采暖通风与空气调节初步设计图纸一般包括图例、系统流程图、主要平面图。除较复杂的空调机房外,各种管道可绘单线图。
2 系统流程图应表示热力系统、制冷系统、空调水路系统、必要的空调风路系统、防排烟系统、排风、补风等系统工程的流程和上述系统的控制方式。
注:必要的空调风路系统是指有较严格的净化和温湿度要求的系统。当空调风路系统、防排烟系统、排风、补风等系统跨越楼层不多,且在平面图中可较完整地表示系统时,可只绘制平面图,不绘制系统流程图。
3 采暖平面图
绘出散热器位置、采暖干管的入口、走向及系统编号。
4 通风、空调和冷热源机房平面图
绘出设备位置、管道走向、风口位置、设备编号及连接设备机房的主要管道等,大型复杂工程还应注出大风管的主要标高和管径,管道交叉复杂处需绘局部剖面。
1.2.4 设备表:列出主要设备的名称、型号、规格、数量等。暖通南社
1.2.5 计算书(供内部使用)
对于采暖通风与空调工程的热负荷、冷负荷、风量、空调冷热水量、冷却水量、管径、主要风道尺寸及主要设备的选择,应做初步计算。
1.3 施工图设计
1.3.1 在施工图设计阶段,采暖通风与空气调节专业设计文件应包括图纸目录、设计与施工说明、设备表、设计图纸、计算书。
1 图纸目录
先列新绘图纸,后列选用的标准图或重复利用图。
2 设计说明和施工说明
1)设计说明
应介绍设计概况和暖通空调室内外设计参数;热源、冷源情况;热媒、冷媒参数;采暖热负荷、耗热量指标及系统总阻力;空调冷热负荷、冷热量指标,系统形式和控制方法,必要时,需说明系统的使用操作要点,例如空调系统季节转换,防排烟系统的风路转换等。
2)施工说明
应说明设计中使用的材料和附件,系统工程压力和试压要求;施工安装要求及注意事项。采暖系统还应该说明散热型号。
3)图例
4)当本专业的设计内容分别由两个或两个以上的单位承担设计时,应明确交接配合的设计分工范围。
4 设备表,施工图阶段,型号、规格栏应注明详细的技术数据。
5 平面图
1)绘出建筑轮廓、主要轴线号、轴线尺寸、室内外地面标高、房间名称。底层平面图上绘出指北针。
2)采暖平面绘出散热器位置,注明片数或长度,采暖干管及立管位置、编号;管道的阀门、放气、泄水、固定支架、伸缩器、入口装置、减压装置、疏水器、管沟及检查人孔位置。注明干管管径及标高。
3)二层以上的多层建筑,其建筑平面相同的,采暖平面二层至顶层可合用一张图纸,散热器数量应分层标注。
4)通风、空调平面用双线绘出风管,单线绘出空调冷热水、凝结水等管道。标注风管尺寸、标高及风口尺寸(圆形风管注管径、矩形风管注宽×高),标注水管管径及标高;各种设备及风口安装的定位尺寸和编号;消声器、调节阀、防火阀等各种部件位置及风管、风口的气流方向。
5)当建筑装修未确定时,风管和水管可先出单线走向示意图,注明房间送、回风量或风机盘管数量、规格。建筑装修确定后,应按规定要求绘制平面图。
6 通风、空调剖面图
1)风管或管道与设备连接交叉复杂的部位,应绘剖面图或局部剖面。
2)绘出风管、水管、风口、设备等与建筑梁、板、柱及地面的尺寸关系。
3)注明风管、风口、水管等的尺寸和标高,气流方向及详图索引编号。
7 通风、空调、制冷机房平面图
1)机房图应根据需要增大比例,绘出通风、空调、制冷设备(如冷水机组、新风机组、空调器、冷热水泵、冷却水泵、通风机、消声器、水箱等)的轮廓位置及编号,注明设备和基础距离墙或轴线的尺寸。
2)绘出连接设备的风管、水管位置及走向;注明尺寸、管径、标高。
3)标注机房内所有设备、管道附件(各种仪表、阀门、柔性短管、过滤器等)的位置。
8 通风、空调、制冷机房剖面图
1)当其它图纸不能表达复杂管道相对关系及竖向位置时,应绘制剖面图。
2)剖面图应绘出对应于机房平面图的设备、设备基础、管道和附件的竖向位置、竖向尺寸和标高。标注连接设备的管道位置尺寸;注明设备和附件编号以及详图索引编号。
9 系统图、立管图
1)分户热计量的户内采暖系统或小型采暖系统,当平面图不能表示清楚时应绘制透视图,比例宜与平面图一致,按45°或30°轴侧投影绘制;多层、高层建筑的集中采暖系统,应绘制采暖立管图,并编号。上述图纸应注明管径、坡向、标高、散热器型号和数量。
2)热力、制冷、空调冷热水系统及复杂的风系统应绘制系统流程图。系统流程图应绘出设备、阀门、控制仪表、配件,标注介质流向、管径及设备编号。流程图可不按比例绘制但管路分支应与平面图相符。
3)空调的供冷、供热分支水路采用竖向输送时,应有控制原理图,并编号,注明管径、坡向、标高及空调器的型号。
4)空调、制冷系统有监测与控制时,应有控制原理图,图中以图例绘出设备、传感器及控制元件位置;说明控制要求和必要的控制参数。
10 详图
1)采暖、通风、空调、制冷系统的各种设备及零部件施工安装,应注明采用的标准图、通用图的图名图号。凡无现成图纸可选,且需要交待设计意图的,均需绘制详图。
2)简单的详图,可就图引出,绘局部详图;制作详图或安装复杂的详图应单独绘制。
11 计算书(供内部使用)
1)计算书内容视工程繁简程度,按照国家有关规定、规范及本单位技术措施进行计算。
2)采用计算机计算时,计算书应注明软件名称,附上相应的简图及输入数据。
2 通风与防火
2.1 通风系统一般规定
2.1.1 一般房间的通风换气,应尽量利用自然通风。但下列情况应设置机械通风:
1 散发大量热、湿的房间;
2 散发烟、臭味等有害气体的房间;暖通南社
3 无自然通风条件或自然通风不能满足通风换气要求的房间。
2.1.2 机械通风应优先采用局部排风,局部排风达不到卫生要求时,才采用全面排风。
2.1.3 机械通风系统布置,应符合下列要求:
1 送风要求不同的房间,宜独立设置送风系统,如:厨房、洗衣房、地下车库、变压器室、蓄电池室和柴油发电机房等。
2 产生有害气体的房间,应独立设置排风系统,且排风量要大于送风量,以保持室内处于负压状态。
3 集中设置的排风系统,每个房间的排风风支管上应有防止回流的措施。
2.1.4 机械通风系统进排风口的设置,应符合下列要求:
1 进风口应设在室外空气较洁净的地方。
2 进、排风口底部距室外地面不宜低于2m,设在绿化地带时不宜低于1m。
3 进风口应尽量设在排风口的上风侧,宜低于排风口3m;当进排风口在同一高度时,宜在不同方向设置,且水平距离不宜小于10m。
4 直接排入大气的有害物,应符合环保及卫生防疫部门的有送排放要求和标准,不符合时应进行净化处理。
5 机械通风系统的通风量应按消除余热、余湿及稀释有害物气体所需的换气量计算,如室内同时有余热、余湿及有害物时,通风量取其中最大值。当散发有害物量不能确定时,可根据换气次数确定。不同房间的换气次数见下表:
注:1 冷冻机房、变电室的通风量应按设备的发热量和设备所允许的最高环境温度计算,在方案设计和初步设计时,可按换气次数估算。
2 锅炉房的换气次数只考虑排除余热,未计算锅炉燃烧所需空气量。
2.1.6 对采用机械通风的房间,应考虑风量平衡和热量平衡。
2.2 厨房通风
2.2.1 中、高级民用建筑的厨房应设机械送、排风系统,普通民用建筑的厨房应以自然通风为主,必要时辅以机械排风。
2.2.2 产生油烟的设备应设带有机械排风和油烟过滤器的排气罩,有条件时宜设自动清洗式除油装置;产生大量蒸气应安置在隔开的小房间内,并在其上部设带有机械排风的排风罩。
2.2.3 排风罩设计应符合下列要求:
1 排气罩的平面尺寸应比炉灶边尺寸大100mm,排气灶下沿距炉灶面的距离不宜大于1.0m,排气灶的深度不宜小于600mm。
2 排气罩的最小排风量按下式进行计算:
L=1000×P×H(m3/h) (4.2.3)
式中: L—排风量(m3/h);
P—罩子的周边长(靠墙的边不计)(m);
H—罩口至灶面的距离(m)。
注:用上述公式计算出的排风量应按罩口面积核算罩口的吸风速度,罩口的吸风速度不应小于0.5m/s。
2.2.4 洗碗间排气罩断面吸风速度不宜小于0.2m/s。一般食堂洗碗间的排风量为500m3/h。计算补风量时,考虑到洗碗间不连续工作,可按排风量的30%计算。
2.2.5 厨房通风系统的风量应按下列原则确定:
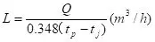
1 厨房的排风量宜根据设备散热量和送排风温差,按平衡计算出。计算时,厨房的室内计算温度可采用下列数值:冬季15,夏季35。计算公式为:
(4.2.5)
式中:L—必须的换气量(m3/h);
tp—室内排风设计温度();
tj—室外送风计算温度();
Q—厨房内的总发热量(显热)(W);
Q=Q1+Q2+Q3+Q4
Q1—炊事设备发热量(W),宜按工艺提供数据;
Q2—操作人员散热量(W);
Q3—照明灯具散热量(W);
Q4—外围护结构的冷负荷(W)。
2 厨房排风量应大于补风量,补风量为排风量的80%~90%,使厨房保持一定负压。
3 总排风量的65%由局部排气罩排出,其余35%由厨房全面换气排风口排出。
2.2.6 厨房排风系统宜专用,整个厨房不宜只设一个排风系统,宜按每个炉灶分设,既灵活又节能,补风系统根据排风系统做相应设置。
2.2.7 有条件时,宜对夏季补风做冷却处理,可设置局部或全面冷却装置;北方地区应对冬季补风做加热处理。
2.2.8 厨房排风系统应注意的其他问题:
1 排风管道一般用1.5mm厚的钢板焊接制作,应尽量缩短水平管道,并应有2%以上的坡度坡向排气罩。
2 排风道内的风速不应小于8m/s。排风罩内接风管处的喉部风速应为4~5m/s。
3 应采用电机外置型的排风机。
2.3 洗衣房通风
2.3.1 洗衣房尽量采用自然通风和局部排风相结合的方式,当自然通风达不以室内环境要求时,则设机械通风系统。
2.3.2 机械通风系统的补风应采用岗位送风和全面送风相结合的方式,如有条件宜对夏季补风做冷却处理;北方地区应对冬季补风做加热处理。
2.3.3 洗衣机、烫平机、干洗机、压烫机、人形吹烫机的上部应设排气罩,烘干机上应设排气管,排气罩的罩面风速不应小于0.5m/s。干洗机的排气系统应单独设置,不得与其他系统合并,收衣房间应单独设排风系统,且宜有消毒措施,以防病菌传染。
2.3.4 洗衣房的通风量宜按设备散热量、散湿量计算确定,设备散热量、散湿量应由工艺提供。室内计算温度可采用下列数值:冬季15,夏季30。
2.3.5 洗衣房通风的气流应使空气由取衣部分向收衣部分流动,工作区的气流速度一般不应大于0.5m/s。
2.3.6 洗衣房的排风应略大于送风,以使其保护微负压状态。
2.4 汽车库通风
2.4.1 汽车库设有分布均匀且可开启的门窗,或有开敞的车辆出入口时,可采用机械排风、自然进风的通风方式。当不具备自然进风条件时,应同时设置机械进、排风系统。
2.4.2 停车库机械通风的排风量,可按下列两种方法计算:
1 换气次数:
一般停车库汽车为单层停放,可按体积换气次数计算。
1)当层高小于3m时,按实际高度计算换气体积;层高≥3m时,按3m高度计算换气体积。
2)商业建筑汽车出入频率较大时,按4次/h换气次数;出入频率一般时,按5次/h换气次数;住宅建筑等汽车出入频率较小时按4次/h换气次数。
2 按每辆车所需排风量:
汽车全部或部分为双层停放时,宜按每辆车所需排风量计算。如商业建筑等汽车出入频率较大时,可取每辆500m3/h;汽车出入频率一般时,可取每辆400m3/h;住宅建筑等汽车出入频率较小时,可取每辆300m3/h。
2.4.3 机械进风系统的进风量一般为排风量的80%~85%。
2.4.4 考虑到出入频率的不同,车库的进排风机宜采用多台风机并联或采用变频风机,以适应通风负荷的变化。
2.4.5 汽车库采用接风管的机械进、排风系统时,应注意气流分布的均匀,减少通风死角。
2.5 电气及设备用房通风
2.5.1 柴油发电机房的通风
1 柴油发电房的室温应小于等于35;当机组不运行时,室温应不低于5。
2 柴油发电机房宜设置独立的送排风系统。
3 柴油发电机房排除余热所需的排风量应根据其容量及冷却方式由计算确定,或直接采用柴油发电机厂商提供的数据。
4 柴油发电机房的送风量为排风量与燃烧空气量之和,柴油发电机的燃烧空气量一般可按每马力每小时5m3估算。
5 柴油发电机房的储油间应设通风,通风量不小于每小时3次的换气量。
6 柴油发电机的排烟口与排烟管的连接宜采用柔性连接,当排烟管连接两台以上的机组时,排烟支管上宜设单向阀。
7 柴油发电机的排烟管应单独排到室外,排烟管的出口处应做消声处理。
8 排烟管的室内部分应作保温,采用耐高温的保温材料,保温层的外表面温度不应超过60。柴油发电机的排烟温度由厂商提供。
2.5.2 变配电室的通风
1 变压器室及高低压配电室宜采用自然通风,当自然通风不能满足排热要求时应采用机械通风方式。
2 当采用机械通风时,气流应从高低压配电室流向变压器室,从变压器室排至室外。
3 变压器室夏季的排风温度不宜高于45。
4 配电室的环境温度和湿度应根据相关设备所提要求来设定。设在地下的变配电室及其控制室(或值班室),当一般机械通风不能满足卫生条件要求时,应设降温装置。
5 变压器室及高低压配电室当采用机械通风时,其通风管道应采用非燃烧材料制作。
2.5.3 制冷机房的通风
1 制冷机房夏季温度不宜超过35,冬季温度不应低于16,冬季设备停止运行时的值班温度不低于5。
2 制冷机房,应设置独立的机械通风系统,以保证平时通风及事故通风。
3 制冷机房应根据制冷剂的种类设置制冷剂泄露的监测器及报警器。
2.5.4 燃油燃气锅炉房的通风
1 燃气调压间等有爆炸危险的房间,通风换气数不应小于3次/h。当自然通风不能满足要求时,应设置机械通风装置,按换气量不小于3次/h选择通风设备,其电机应为防爆型。
2 油泵房和贮存闪点≥45的易燃油品的地下油库,除采用自然通风外,油泵应设有换气不小于10次/h的机械通风装置,油库应设有换气不小于6次/h的机械通风装置。换气风量可按房间高度为4m计算。
3 设置在地面上的易燃油泵房,发其外墙下部设有百叶窗、花格墙等对外常开孔口时,可不设置机械通风装置。
4 设置在民用建筑内的锅炉房还应满足下列要求:
1)锅炉房应有独立的送风、排风系统,送风量应大于燃烧所需要的空气量。
2)控制室、操作室、化验室、值班室等应根据人数提供足够的新风量,并宜配置冬季供暖和夏季降温设备。
2.6 卫生间通风及其他
2.6.1 卫生间通风
1 公共卫生间、高层住宅卫生间、旅馆客房卫生间及大于5个喷头的沐浴间应设置机械排风,以形成负压。多层住宅的卫生间可设自然排风竖井,有条件时宜设机械排风。
2 设有空调系统的旅馆客房卫生间的排风量宜按所在客房新风量的80%~90%确定。公共卫生间的排风量按每小时不小于10次的换气量计算。住宅卫生间按每小时不小于5次的换气量计算。
3 高层建筑竖向设置卫生间排风系统时,宜在顶部设置集中的总排风机,并在每个卫生间设排气扇,以防各层排风量不均匀。
2.6.2 吸烟室应设机械排风,排风量可按每小时10次换气计算。
2.6.3 电梯机房可采用自带冷源的空调机组降温,或设机械排风,排风量按照电梯设备的发热量和电梯机房允许温度,由热平衡计算确定。
2.7 通风机及风道系统
2.7.1 通风机的风量除应满足计算风量外,还应增加一定的管道漏风量,空调系统及一般进、排风系统的漏风附加率为不大于10%。在管网计算时不考虑管道漏风量。
2.7.2 通风机房应遵守下列规定
1 用于有爆炸危险房间的送、排风机房及排除有害气体的排风机房,应有良好的通风,其通风量不小于每小时1次换气。
2 排除有害气体的排风机不应与送风机设置在同一机房内。
3 有爆炸危险房间的送、排风机不应与无爆炸危险房间的送、排风机设置在同一机房内。
4 通风机房不宜直接设置在住宅、教室、观众厅、手术室、病房、录音室等要求安静的房间的上边或下边。如必须设置时,至少应有管道层隔开。
2.7.3 选择通风机时,风量、风压裕量不应过大,并应进行运行工况分析,确定经济合理的台数,使调节简单,有条件时可采用变速风机,以减少运行费用。
2.7.4 通风机房宜装设调节阀,以便调节系统的风量及风压。调节阀宜采用百叶式或花瓣式。
2.7.5 通风管道宜采用钢板制作,当输送腐蚀性或潮湿气体时,通风管道风机及配件均应做防腐蚀处理。当采用非金属材料制作风管时,必须符合防火标准,并应保证风管的坚固及严密性。
2.7.6 风管各管段之间的压力损失应力求平衡,通风系统各并联支管之间允许的压力差不宜大于15%,如达不到要求时,应设调节阀调节。
2.7.7 全面通风的气流组织应符合下列规定
1 排气口应设在散出有害物较多的地方,而送风口则应设在散出有害物较小的地方或人员经常停留的地方。当室内有有害气体产生而又设有局部排气时,则空气可送至上部地带。
2 室内气流方向应从有害物浓度较少的地区流向浓度较大的地区,特别重要的是应使气流能将有害物从人员休息区带走。
2.7.8 选风机时,首先选用低噪声风机;考虑风机的消声时,不仅要达到室内的噪声标准,而且室外进、排风口处也要遵守环境保护部门的有关规定。
2.7.9 放散热、湿、烟、味等的房间及普通地下室均应考虑通风换气。
通风换气应尽可能采用自然通风方式,以节省能源和投资。只有当自然通风不能保证卫生要求时,才采用机械通风。机械通风时又应尽量采用局部排风,当局部排风达不到卫生要求时,才采用全面排风。
2.7.10 排风管道的排出口宜高出屋脊,排出口的上端高出屋脊的高度一般不得小于下列规定:
1 当排出无毒气体时,为0.5m。
2 当排出最高允许浓度大于5mg/m3的有毒气体时,为3m。
3 当排出最高允许浓度小于5mg/m3的有毒气体时,为5m。
2.7.11 风管的制作与连接,应符合下列要求
1 风管尺寸宜采用全国统一规格,板材厚度及法兰材料规格应符合《通风与空调工程施工质量验收规范》GB50243-2016。
2 矩形风管的长边与短边比,最大不应超过10。
3 风管弯头的曲率半径一般取1.0~1.5b(b为风管弯边的宽度)。当曲率半径过小或采用直角弯头时,应设导流叶片。圆风管弯头曲率半径取1.0~1.5D(D为风管直径)。
4 风管的变径,应做成渐扩或渐缩形,其每边扩大或收缩角度不宜大于30°。
5 风管系统中使用静压箱时,静压箱断面风速应小于1.5m/s。
6 弯头、三通、调节阀、变径管等管件之间间距不应过小,宜保持5~10倍管径长的直管段,以免增加风管阻力和噪声。
2.8 防火排烟
2.8.1 设计新建、扩建和改建的九层及九层以下的住宅(包括首层设置商业服务设施的住宅)和建筑高度不大于24m的其他民用建筑,以及建筑高度大于24m的单层公共建筑时,应按国家现行的《建筑设计防火规范》GB50016-2014(2018年进行局部修订)。
设计新建、扩建和改建的十层及十层以上的居住建筑(包括首层设置商业服务网点的住宅)和建高度超过24m的公共建筑时,应按国家现行的《建筑设计防火规范》GB50016-2014执行。
上海市工程除执行上述规范外,还应满足上海市工程建设规范《民用建筑防排烟技术规程》DGJ08-88-2006的要求。暖通南社
2.8.2 非高层民用建筑及高度大于24m的单层公共建筑下列部位应设防烟、排烟设施:
1 防烟楼梯间及其前室、消防电梯间前室和合用前室应设防烟设施。
2 下列部位应设排烟设施:
1)公共建筑中经常有人停留或可燃物较多,且面积大于300m2的地上房间。
2)总面积大于200m2或一个房间面积大于50m2,且经常有人员停留或可燃物较多的地下室。
3)地下室、公共建筑中长度大于20m的疏散内走道,其他建筑中长度大于40m的疏散内走道。
4)建筑占地面积大于1000m2的地上丙类仓库。
5)中庭。
2.8.3 高层民用建筑的下列部位应设防烟、排烟设施:
1 防烟楼梯间及其前室、消防电梯前室或合用前室和封闭避难层应设置机械加压送风的防烟设施或设有可开启外窗的自然排烟设施。
2 高层民用建筑下列部位应设置可开启外窗的自然排烟设施或设有机械排烟设施。
1)长度超过20m的疏散内走道;
2)面积超过100m2,且经常有人停留或可燃物较多的房间;
3)各房间总面积超过200m2或一个房间面积超过50m2,且经常有人停留或可燃物较多的地下室;
4)中庭;
5)封闭避难层(间)。
2.8.4 按2.8.2和2.8.3条规定应设防烟或排烟设施的部位,除建筑高度超过50m的一类公共建筑和建筑高度超过100m的居住建筑外,宜首先考虑采用自然通风方式进行防烟或排烟。当自然通风方式不能满足要求时,应采用机械防烟或排烟方式。
2.8.5 采用自然排烟时,其自然排烟口的净面积应符合下列条件:
1 防烟楼梯间前室、消防电梯间前室可开启外窗面积不应小于2m2,合用前室不应小于3m2。
2 靠外墙的防烟楼梯间每5层内可开启排烟窗总面积不应小于2m2,且顶层应有一定的开窗面积。
3 长度不超过60m的内走道可开启外窗面积不应小于走道面积的2%。
4 中庭、剧场舞台及生产厂房开可启外窗面积不应小于该部位建筑面积的5%。
5 按本措施2.8.2、2.8.3条中采取自然排烟设施的其他场所和部位,可开启外窗面积不应小于该场所和部位建筑面积的2%。
2.8.6 自然排烟口,宜设置在房间、走道、楼梯间的上部或靠近屋顶的外墙上方,并应有方便开启的装置。排烟口距该防烟分区最远点的水平距离不应超过30m。
2.8.7 建筑中的下列部位应设独立的机械加压送风防烟设施:
1 不具备自然排烟条件的防烟楼梯间、消防电梯间的前室或合用前室。
2 采用自然排烟设施的防烟楼梯间中不具备自然排烟条件的前室。
3 封闭避难层(间)。
2.8.8 机械加压送风量应经计算确定,常用的两个基本计算方法是:
压差法:即当疏散通道门关闭时,加压部位保持一定的正压值所需送风量。
(2.1.8-1)
式中:Ly— 加压送风量(m3/h);
0.827— 计算常数(漏风率系数);
A— 门、窗缝隙的计算漏风总面积(m2);
ΔP— 门、窗两侧的压差值Pa ,对于防烟楼梯间取40~50 Pa ,对于前室、消
防电梯前室、合用前室取25~30 Pa;
N—指数,对于门缝及较大漏风面积取2,对于窗缝取1.6;
1.25— 不严密处附加系数。
风速法:开启着火层疏散门时需要相对保持门洞处一定风速所需送风量。
Ly= nFV(1+b/a×3600 (2.1.8-2)
式中 Ly— 加压送风量(m3/h);
F—每个门的开启面积(m2);
V—开启门洞处的平均风速,取0.6~1.0m/s;
a—背压系数,根据加压间密封程度,在0.6~1.0范围内取值;
b—漏风附加率,取0.1~0.2;
n—同时开启门的计算数量。当建筑物为20层以下时取2,当建筑物为20层及
其以上时取3。
根据以上压差法和风速法分别算出风量并取其大值,《建筑设计防火规范》(GB50016-2014)中有关规定比较,取其中大值作为系统计算加压送风量。
2.8.9 机械加压送风系统最不利环路阻力损失外的余压值:防烟楼梯间应为40~50Pa;前室、合用前室应为25~30Pa。
2.8.10 高层民用建筑防烟楼梯间的加压送风口宜每隔2或3层设置一个;非高层民用建筑的加压送风口宜每隔1或2层设置一个;前室或合用前室的加压送风应每层设置一个。
2.8.11 机械加压送风系统设计中需注意:
1 防烟楼梯间和合用前室的机械加压送风系统宜分别独立设置。
2 建筑层数超过32层时,其送风系统及送风量应分段设计。
3 剪刀楼梯间可合用一个风道,其风量按两楼梯间风量计算,送风口应分别设置。塔式住宅设计一个前室的剪刀楼梯应分别设置加压送风系统。
4 地上和地下同一位置的防烟楼梯间需采用机械加压送风时,均应满足加压风量的要求。
5 前室的加压送风口为常闭型时,应设置手动和自动开启装置,并与加压送风机的启动装置联锁,手动开启装置宜设在距地面0.8~1.5m处。
6 前室的加压送风口为常开型时,加压送风量应计入火灾时不开门的楼层门缝的漏风量,可取总风量的10%~20%,并应在加压风机的压出管上设置止回阀。
7 采用机械加压送风系统的楼梯间或前室,当某些层有外窗时,应尽量减少开窗面积或设固定窗扇,系统加压送风量应计算窗缝的漏风量。
8 封闭避难层(间)的机械加压送风量,应按避难层(间)净面积每平方米不小于30m3/h计算。
9 加压送风的楼梯间与前室宜设置防止超压的泄压装置。
2.8.12 下列楼梯间或前室可不设防烟设施:
1 防烟楼梯间设有机械加压送风时的独立前室。
2 防烟楼梯间的前室或合用前室利用敞开的阳台、凹廊作自然排烟,或有不同朝向的可开启外窗、且面积符合要求的防烟楼梯间(建筑高度超过50m的一类公共建筑和超过100m的居住建筑除外)。
3 建筑高度低于100m的居住建筑,前室设有面积符合要求的可开启外窗的楼梯间。
2.8.13 建筑中的下列部位应设置机械排烟设施:
1 在2.8.2和2.8.3条中规定应设排烟设施,但不具备自然排烟条件的部位。
2 有直接自然通风,但人员密集场所中长度超过40m的疏散内走道和其他建筑中长度超过60m的疏散内走道。
2.8.14 需设机械排烟设施且建筑高度不超过6m的部位,应划分防烟分区,可采用隔墙或从顶棚下突出不小于500mm的梁或用不燃材料制作的挡烟垂壁划分防烟分区。每个防烟分区的建筑面积不宜超过500m2。防烟分区不应跨越防火分区。自动控制的活动挡烟垂壁,应能就地手动控制,但下落时下端距地面的高度应>1.8m。
2.8.15 设置机械排烟设施的部位,其排烟风机的排烟量应符合下表的规定。
排烟风机的排烟量
2.8.16 机械排烟系统横向宜按防火分区设置,竖向穿越防火分时,垂直风管宜设置在管井内。穿越防火分区的排烟管道,应在穿越处设280时自动关闭的防火阀。
2.8.17 在地下室设置机械排烟系统时,应同时设置补风系统,且补风量不宜小于排烟量的50%。当补风通路的空气阻力不大于50Pa时,可采用自然补风方式,否则应采用机械补风方式。
2.8.18 机械排烟系统中排烟口或排烟阀的设置应符合以下要求:
1 排烟口或排烟阀应按防烟分区设置。
2 排烟口应设置在顶棚或靠近顶棚的墙面上,且与附近安全出口的最小距离不应小于2.00m。设在顶棚上的排烟口,距可燃构件或可燃物的距离不应小于1.00m。
3 排烟口与该防烟分区内的最远点的水平距离不应超过30m。
4 排烟口和排烟阀应与排烟风机连锁,当任一排烟口或排烟阀开启时,排烟风机应能自行启动。
2.8.19 排烟风机风量应考虑10%~20%的漏风量,风压应满足排烟系统最不利环路的要求,排烟风机应保证在280时能连续工作300min。在风机入口总管上应设置当烟气温度超过280时能自行关闭的排烟防火阀,且应与排烟风机连锁,当该排烟防火阀关闭时,风机应能停止运转。
2.8.20 排烟风机和用于补风的送风风机宜设在通风机房内,机房围护结构的耐火极限应不小于2.5h,机房的门应采用乙级防火门。设在室外时,应有防护设施并便于维护。
2.8.21 排烟系统采用金属管道时,其钢板厚度按《通风与空调工程施工质量验收规范》(GB50243-2016)高压系统选用。
2.8.22 排烟系统设计中的其他几个要点:
1 排烟系统的补风系统室外进风口与排烟出口水平距离不宜小于10m,或垂直距离不宜小于3m,且进风口宜低于排烟口。暖通南社
2 排烟管道宜顺气流方向向上或水平敷设,排烟风机宜设在系统最高排烟口之上。
3 当排烟口平时处于关闭状态时,除设置自动开启功能并应手动开启功能,手动开启装置的位置应便于操作。
4 一个排烟系统带几个防烟分区时,除特殊需要外,应避免防烟分区面积差别太大,若因需要,有大小悬殊面积的防烟分区,应合理设计,保证火灾中小面积的防烟分区排烟时,排烟风管和风口的速度能满足规范的要求。
5 排烟管道不应穿越前室或楼梯间,如确有困难必须穿越时,其耐火极限不应小于2h。
6 需设软接头的排烟风机,其软接头应是耐高温材料,且应在280温度下连续工作0.5h以上。
2.8.23 防烟与排烟系统中的风管、风口及阀门等必须采用不燃材料制作,排烟管道应与可燃物体保持不小于150mm的间隙,并应采用不燃材料进行隔热。
2.8.24 机械加压送风管道、排烟管道、排烟口、送风口的风速应符合下列规定:
1 采用金属风管时,不应大于20m/s。
2 采用内表面光滑的混凝土等非金属风道时,不应大于15m/s。
3 排烟口的风速不宜大于10m/s,送风口的风速不宜大于7m/s。
2.8.25 机械排烟系统与通风、空气调节系统宜分开设置。若合用时,应符合下列要求:
1 系统的风口、风道、风机等应满足排烟系统的要求。
2 当火灾被确认后,应能开启排烟区域的排烟口和排烟风机,并自动关闭与排烟无关的通风、空调系统。
2.8.26 通风和空气调节系统管道的布置,横向应按每个防火分区设置,竖向不宜超过5层。当管道设有防止回流设施或设有防火阀,且各层设有自动喷水灭火系统时,其管道布置可不受此限制。穿过楼层的垂直风管宜设在管井内。
2.8.27 下列情况之一的通风、空气调节系统的风管应设防火阀:
1 风管穿越防火分区处。
2 风管穿越通风、空气调节机房及重要的或火灾危险性大的房间隔墙和楼板处。
3 垂直风管与每层水平风管交接处的水平管道上。
4 穿越变形缝处的两侧应各设一个。
2.8.28 一般防火阀的动作温度通常为70;防火阀应靠近防火分隔处设置,且在防火阀两侧各2.0m范围内的风管及其保温应采用不燃材料制作。防火阀应单独设置支、吊架,当防火阀暗装时,应在安装部位设置检修口。公共建筑厨房排油烟管道在与垂直排风管连接处,应设置动作温度为150的防火阀。
2.8.29 凡空气中含有容易起火或爆炸及爆炸危险物质的房间,应良好的自然通风或独立的机械通风系统设施,且其空气不应循环使用,其通风设备必须符合防火、防爆的要求。如放映室、实验室、药品库、汽车库、蓄电池室、变配电室、氧气瓶间、煤气表间等的排风系统应各自分设单独系统。
2.8.30 输送可燃气体和甲、乙、丙类液体的管道严禁穿过防火墙,如必须穿过时,管道穿过隔墙、楼板处应采用难燃烧材料将其周围的空隙堵塞密实。
2.8.31 通风、空气调节系统的风管应采用不燃材料制作,但接触腐蚀性介质的风管和软接头,可采用难燃材料制作。
非居住建筑中,当通风、空调系统的风管按防火区设置,且在防火分隔处设置防火阀时,风管亦可采用燃烧产物毒性较小、且烟密度等级不应大于50的难燃材料。但中防火阀两侧各2.0m范围内的风管及其保温材料应采用不燃材料制作。
2.8.32 设备和风管的保温材料,用于加湿器的加湿材料、消声材料及其粘结剂,应采用不燃或难燃材料。风管电加热器前后各800mm范围内应采用不燃保温材料。
2.8.33 地下汽车库的面积超过2000m2时,应设机械排烟系统。
1 每个防烟分区的建筑面积不宜超过2000m2,且防烟分区不应跨越防火分区。
2 排烟风机的排烟量应按换气次数不小于6次/h计算。若汽车库内无直接通向室外的汽车疏散出口的防火分区,当设置机械排烟系统时,应同时设置补风量不小于排烟50%的补风系统。
2.9 防烟、排烟设计
2.9.1 防烟、排烟设计的基本概念
防火的目的是防止火灾的发生与蔓延,以及有利于扑灭火灾。而防烟、排烟的目的的将火灾产生的大量烟气及时予以排除以及阻止烟气向防烟分区以外扩散,以确保建筑物内人员的顺利疏散、安全避难和为消防人员创造有利扑救条件。因此防烟、排烟是进行安全疏散的必要手段。
防烟、排烟的设计理论就是对烟气控制的理论。从烟气控制的理论分析:对于一幢建筑物,当内部某个房间或部位发生火灾时,应迅速采取必要的防烟、排烟措施,对火灾区域实行排烟控制,使火灾产生的烟气和热量能迅速排除,以利人员的疏散和扑救;对非火灾区域及疏散通道等应迅速采用机械加压送风的防烟措施,使该区域的空气压力高于火灾区域的空气压力,阻止烟气的侵入,控制火热的蔓延。如美国西雅图大楼的防烟、排烟系统,采用了计算机控制,当收到烟气或热感应器发出的讯号,计算机立即命令空调系统进入火警状态,火灾区域的风机立即停止运行,空调系统转而进入排烟动作,同时非火灾区域的空调系统继续送风,并停止回风与排风,使非火灾区处于正压状态,以阻止烟气侵入。这种防、排烟系统对减少火灾损失是很有效的。但是这种系统的控制和运行,需要先进的控制设备及技术管理水平,投资比较高,我国目前的经济技术条件较难达到。从当前我国国情出发,对设置防烟、排烟设施的范围作出规定。具体的说按以下两个部分考虑:
1 防烟楼梯间及其前室、消防电梯前室和两者合用前室、封闭式避难层按条件设置防烟设施。
2 走廊、房间及室内中庭等按条件设置机械排烟设施或采用可开启外窗的自然排烟措施。
2.9.2 防烟、排烟设计程序
防烟、排烟设计程序如下图所示。
进行防烟、排烟设计时,首先应了解清楚建筑物的防火分区,并且合理划分防烟分区,防烟分区应在同一防火分区内,其建筑面积不宜过大,一般不超过500m2,然后,才能确定合理的防烟、排烟方式和进一步选择合适的防烟、排烟系统,确定送风管道、排风管道、排烟口、防火阀等的位置。
其中引用部分标准、规范已更新了,请大家在学习参考时注意最新的标准、规范。
转自互联网,如有侵权请联系删除
- 上一篇:没有啦
- 下一篇:防火阀作用说明 2019/1/4
